钢筋加工全解析:等级分类、检验标准与保管要点
表面上看起来简易的钢筋配送,实际上是需要进行精准计算的,并且是要有严谨规范的,哪怕只是出现一丝一毫的差错,都极有可能致使工程存在隐患,。
钢筋下料计算原理

计算钢筋下料的长度,并不是直接去丈量绘制图纸所标记的尺寸,而是要按照设计给出的长度,再去加上弯钩所需要的长度,然后减掉弯曲过程当中出现的伸长数额,这样的计算流程和材料利用效率以及结构安全性能是直接相关的。

于实际操作当中,工人需理解弯箍机尺寸调节之原理,借此依据各异规格钢筋的弯曲特性,算出弯曲不同角度时增添或减少尺寸的数值,像直径是12毫米的钢筋弯曲90度时,伸长量约为1.5毫米这般的数据,要于实际加工之前经由试弯予以验证,进而确保下料精度 。
弯曲钢筋处理要点

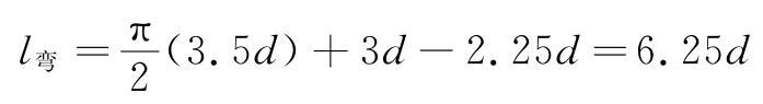
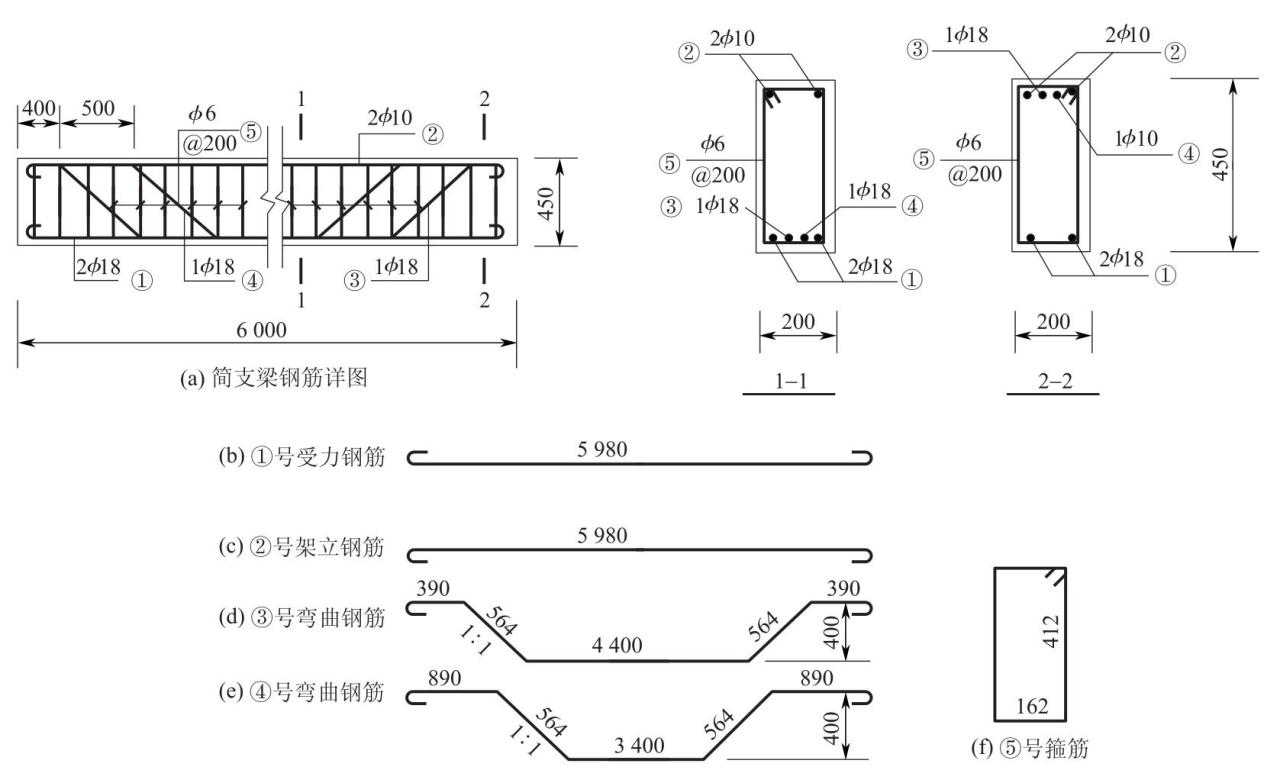
那种弯曲了的钢筋,在梁和板这些构件里面,是相当常常见到的。去计算这种钢筋的下料长度之际,得分别去考虑直段的尺寸,斜段的尺寸,还有弯钩部分的尺寸。保护层的厚度呢,对计算的结果有着直接的影响。通常来讲,梁的上面那层保护层是20毫米,梁的下面那层保护层是30毫米。
按照施工规范所给出的要求为准,弯起钢筋的时候与之相对应的弯曲半径,是不可以小于钢筋直径的4倍的。就以直径是18毫米的钢筋来讲,它的最小弯曲半径是应该达到72毫米的。而且弯曲角度同样是需要严格地进行把控的,常见的存在45度以及60度这两种情形。

箍筋加工规范
给箍筋末端弄上弯钩,这可是促使箍筋跟主筋一同发挥作用的关键之处,是绝对得做的。按照有关规范,用圆钢筋做成的箍筋,其弯钩平直部分的长度不能小于箍筋直径的5倍。在实际的工程当中,直径8毫米的箍筋弯钩平直段一般会选取40毫米。

现今的工地,大多普遍采用专用弯箍机去进行箍筋加工工作,这种装置能够保证 弯钩角度精准地达成 135 度,与此同时,还能够确保每个弯钩的尺寸保持一样,加工完成的箍筋,需依据规格分类摆放,从而便于后续的绑扎作业 。
钢筋连接方式选择
其一,钢筋连接存有主要类型,分别为绑扎搭接、焊接以及机械连接这三种方式 。其二,绑扎搭接这种方式适用于直径是25毫米及以下的钢筋,然而在拉杆当中它是被禁止运用的 。其三,焊接接头是要先焊接之后再去下料的,这对施工顺序有着特定要求 。
近年被广泛运用的机械连接技术有加等强直螺纹连接,它把钢筋端部镦粗,切削出直螺纹,借助套筒开展连接使钢筋能够对接,强度高,施工速度快,适用于大型建筑工程 。
接头布置原则

接头位置要怎么去进行布置呢,此处是绝对得按照规范要求去做才可以。在同一根钢筋上面,是不应该配置过多接头的,规范有相关规定,在“同一截面”之内,只允许存在一个接头。这里所说的“同一截面”,它指的是35倍钢筋直径的范围,而且是不小于500毫米的长度区间 。

在钢筋排列紧密的结构部位之中,若钢筋间净距小于其直径的1.5倍,且小于或等于30毫米,此时,绝不能采用搭接接头。为达成这样的要求与规定,施工人员在进行配料这一行为时,需充分考虑接头位置的合理性。
钢筋代换注意事项

在施工的期间当中,当遭遇钢筋规格并不齐全的这种情形状况之下,或许有可能需要去开展钢筋代换的相关操作行为,而此种代换绝对必须得依据等强度的原则标准来付诸实践操作,与此同时还需要充分满足构造方面所提出的要求条件,对于代换之后的钢筋而言,它的直径、根数、间距以及锚固长度这些方面都必须要重新进行核算考量。
对于这一点,必须予以特别留意,一旦钢筋要进行代换,那就必须经由设计单位同意,并且还得去办理相应的变更手续,施工人员绝对不可以擅自进行代换,不然极易对结构安全性能造成影响。
您于那段开展工程实践的时间所碰见遭遇的最为繁杂的钢筋下料计算是何种状况呢,满心欢喜期待在切实的评论区域分享拿出经验呀,要是觉得这篇文章具备作用价值意味的话呢,那就请点赞予以支持鼓励吧!

声明:本站所有内容均由网友自主上传发布,内容的真实性、合法性及版权归属均由上传网友负责,本站仅提供信息展示与传播平台。如若本站内容侵犯了原著者的合法权益,可联系本站删除。 。




